Расчет элементов техники полива при дождевании. курсовая работа (т). сельское хозяйство. 2021-04-13
Введение
дождевание сельскохозяйственный
водопотребление полив
Мелиорация земель посредствам
гидротехнических мероприятий имеет важное значение для населения всей планеты
Земля. Достаточно привести данные ООН по обеспеченности земельными ресурсами
среднего жителя земного шара — 0,3 га, 60% из которых нуждаются в орошении.
Фонд иригированных земель
Краснодарского края составляет более 400 тыс. га., в том числе рисовой
ирригированный фонд — порядка 200 тыс. га. Практически все площади под с.х.
культурами нуждаются в регулировании режима водообеспеченности, в основном
посредствам орошения.
Правильно запроектированные системы
орошения и квалифицированно используемые технологии позволяют увеличить
урожайность основных с.х. культур в 1,5 — 2,0 раза и более, в 2,0 — 2,4 раза —
коэффициент использования земли, выращивать нетрадиционные для Кубани культуры,
применять технологии, не требующие использование гербицидов, регулировать
уровень нитратов в почве и в с.х. продукции.
Предлагаемый курсовой проект
включает все основные этапы проектирования от режима орошения до принятия
конкретных технических решений применительно к условиям местности, климата и
экономики.
Полученные студентами инженерных
факультетов в процессе выполнения расчётно-графической работы навыки позволяют
им грамотно запроектировать оросительные системы, принимать системы в
эксплуатацию, составлять планы водопользования, эффективно применять поливную
дождевальную технику, умело использовать энергию рельефа местности при
поверхностном орошении, рационально распоряжаться водными и земельными
ресурсами.
1. Проектирование
режимов орошения с.х. культур при поливе дождеванием
Целью оросительных
мелиораций является создание и регулирование на полях водного режима,
обеспечивающего получение проектного (расчетного) урожая сельскохозяйственных
культур. Водный режим находится в прямой зависимости от климатических,
почвенных, гидрогеологических и хозяйственных условий, биологических
особенностей сельскохозяйственной культуры, ее урожайности, агротехники и от
способа и техники полива.
Очень важно
правильно разрабатывать режимы увлажнения почвы, так как водный режим почвы
регулирует все остальные ее режимы (питательный, солевой, воздушный и
тепловой), имеющие большое значение в жизни растений и создании расчетного урожая.
Так, вносимые в почву удобрения, особенно в зоне недостаточного увлажнения,
эффективны только при орошении. Урожайность, например, орошаемых зерновых
культур увеличивается в 1,5…2 раза и более по сравнению с неорошаемыми при
прочих равных условиях.
Поступая с
оросительной водой, удобрения усваиваются корнями растений. Кроме того,
оросительная вода приносит в почву питательные вещества (обычно илистые
частички). Изменения теплового режима почвы при орошении определяются как
усиленным испарением с поверхности поля после полива, так и температурой самой
оросительной воды. В периоды с наиболее высокой температурой воздуха поливы
снижают ее, а в периоды с низкой температурой (ночные часы, раннеосенние и
поздневесенние заморозки) повышают за счет большой теплоемкости воды и более
высокой ее температуры по сравнению с воздухом.
Орошение влияет на
концентрацию почвенного раствора, изменяет содержание солей в почве; вытесняя
воздух из почвенных пор, оросительная вода определяет воздушный режим почвы.
Повышение влажности
воздуха при поливах оказывает благоприятное влияние на развитие растений.
Необходимый
растению водный режим почвы создается соответствующим режимом орошения. Режим
орошения определяет нормы, сроки и число поливов сельскохозяйственной культуры.
Так же, как и водный режим, он зависит от биологических особенностей
сельскохозяйственной культуры, природных и хозяйственных условий.
Режим орошения, то
есть подача воды на поля и перевод ее в почвенную влагу, осуществляется с
помощью различных способов и техники полива.
Разработка
расчетного режима орошения связана с установлением проектного водного режима
почвы, который находится в тесной зависимости с расчетной урожайностью
сельскохозяйственной культуры.
Расчетную
урожайность устанавливают в результате экономических расчетов. Она является
заданной величиной при проектировании оросительных систем. Чтобы обеспечить
режим орошения, соответствующий расчетной урожайности, необходимо создать
оптимальные условия увлажнения для растений.
Растение для своего нормального
развития нуждается в достаточном количестве в почве воздуха, воды, тепла и
питательных веществ. В соответствии с биологическим законом незаменяемости
действия факторов внешней среды растение не может нормально развиваться при
недостатке любого из этих факторов
Режим орошения с.х. культур
представляет собой совокупность числа, сроков и норм поливов. Режим орошения
устанавливают расчётным путём в соответствии с биологическими особенностями
растений, климатическими, почвенными, гидрогеологическими условиями орошаемого
участка, способом и техникой полива культур и технологией их возделывания.
Расчёт режима орошения проводят в
следующей последовательности: устанавливают год расчётной обеспеченности;
определяют суммарное водопотребление растений за вегетационный период;
устанавливают естественную влагообеспеченность; рассчитывают оросительную и
поливную нормы; устанавливают сроки поведения поливов и продолжительность
поливных периодов; определяют расчётное значение ординаты гидромодуля или
расхода.
1.1 Исходные данные
Таблица 1 — Техническая
характеристика машины Днепр ДФ-120-04
Марка машины | Число тележек, шт. | Модификация | Расход воды, м/с | Давление, мПа | Средняя интенсивность дождя, мм/мин | Слой дождя запроход машины, мм | Расстояние между оросителями, м | Ширина захвата дождем, м | Производительность при норме полива, 600 м3/га | Сезонная нагрузка, га |
Днепр | 13 | ДФ-120-04 | 92 | 0,44 | 0,3 | 710 | 352 | 0,55 | 90-1000 |
Таблица 2 — Водно-физические
свойства почв по Кущевскому району
Районы почв | Слой почвы H, м | Масса твердой фазы, б, m/м3 | Масса естественного сложения d, т/м3 | Влажность почвы при НВ от сухой массы Гнв, % |
Кущёвский, почва-предкавказский карбонатный чернозём, | 0-30 | 2,68 | 1,24 | 33,2 |
0-40 | 2,78 | 1,26 | 32,2 | |
0-40 | 2,69 | 1,26 | 32,2 | |
0-50 | 2,7 | 1,29 | 31,3 | |
0-60 | 2,71 | 1,31 | 30,5 | |
0-70 | 2,7 | 1,33 | 29,9 | |
0-80 | 2,72 | 1,34 | 29,3 | |
0-100 | 2,74 | 1,36 | 28,3 |
Таблица 3 — биологическая
характеристика лука репчатого
Культура | Глубина активного слоя водопотребления, Н, м | Планируемая урожайность У, т/га | Коэффициент водопотребления, Кв, м3/т | Биофизический коэффициент, К0, м3/га/°С | Предполивная влажность почвы в долях от НВ | Период вегетации (декада, месяц) | |
начало | конец | ||||||
Лук на репку | 0,4 | 20 | 180 | 1,75 | 0,7 | 1,04 | 3,08 |
Таблица 4 — Расчет среднемесячной
температуры воздуха по месяцам вегетационного периода лука репчатого
Годы | Вегетационный период | |||||
апрель | май | июнь | июль | август | Ʃt,°C | |
1974 | 7,30 | 14,50 | 18,20 | 19,47 | 19,23 | 2414,20 |
1975 | 13,87 | 15,90 | 20,50 | 21,67 | 19,97 | 2814,53 |
1976 | 10,80 | 12,67 | 16,63 | 18,20 | 19,17 | 2374,03 |
1977 | 11,60 | 14,67 | 17,50 | 19,83 | 19,60 | 2550,10 |
1978 | 8,03 | 13,10 | 16,47 | 20,70 | 17,87 | 2336,67 |
1979 | 9,20 | 17,30 | 19,10 | 19,97 | 21,83 | 2681,10 |
1980 | 9,00 | 14,13 | 17,63 | 22,27 | 19,40 | 2528,80 |
1981 | 7,83 | 15,37 | 23,40 | 22,47 | 23,07 | 2824,90 |
1982 | 12,27 | 16,53 | 18,87 | 22,00 | 22,10 | 2813,63 |
1983 | 13,53 | 18,10 | 19,53 | 23,20 | 20,93 | 2921,23 |
1984 | 10,53 | 18,27 | 20,23 | 21,17 | 20,33 | 2775,77 |
1985 | 10,07 | 18,83 | 19,20 | 21,50 | 25,10 | 2906,43 |
1986 | 13,00 | 15,30 | 23,00 | 22,87 | 24,37 | 3018,53 |
1987 | 11,33 | 13,80 | 21,17 | 21,50 | 22,63 | 2770,93 |
1988 | 11,20 | 17,27 | 22,13 | 21,13 | 23,33 | 2913,73 |
1989 | 12,90 | 15,90 | 20,13 | 23,07 | 23,60 | 2930,57 |
1990 | 11,47 | 14,30 | 19,00 | 23,57 | 20,67 | 2728,53 |
1991 | 11,17 | 15,27 | 22,00 | 23,90 | 22,33 | 2901,50 |
1992 | 8,80 | 15,40 | 20,50 | 21,77 | 23,00 | 2744,17 |
1993 | 9,27 | 15,70 | 18,43 | 21,30 | 22,07 | 2662,07 |
1994 | 13,03 | 14,70 | 17,93 | 22,83 | 22,37 | 2785,90 |
1995 | 11,13 | 17,67 | 19,90 | 22,33 | 21,53 | 2838,53 |
1996 | 10,37 | 19,53 | 20,33 | 22,50 | 23,20 | 2943,23 |
1997 | 9,10 | 18,50 | 20,10 | 21,20 | 21,77 | 2781,47 |
1998 | 12,97 | 17,17 | 23,40 | 24,97 | 22,83 | 3104,97 |
1999 | 9,73 | 17,80 | 22,30 | 23,93 | 21,23 | 2912,97 |
2000 | 10,50 | 17,17 | 20,37 | 22,90 | 23,30 | 2890,37 |
2001 | 11,60 | 18,10 | 20,30 | 23,63 | 21,93 | 2930,67 |
2002 | 8,97 | 17,53 | 23,33 | 21,87 | 24,63 | 2954,03 |
2003 | 10,30 | 15,67 | 20,10 | 22,30 | 22,67 | 2791,63 |
2004 | 11,67 | 15,97 | 19,40 | 20,70 | 21,30 | 2728,97 |
2005 | 12,10 | 18,63 | 21,03 | 23,47 | 23,63 | 3031,73 |
2006 | 8,73 | 15,57 | 20,50 | 23,23 | 22,30 | 2771,10 |
2007 | 10,53 | 19,30 | 22,83 | 25,77 | 26,80 | 3228,87 |
Таблица 5 — Расчёт суммы осадков за
вегетационный период лука репчатого
Годы | Вегетационный период | май | июнь | июль | август | ƩP, мм | |||||
1974 | 29,90 | 60,60 | 50,60 | 76,90 | 40,40 | 258,40 | |||||
1975 | 26,80 | 45,50 | 72,10 | 48,20 | 106,50 | 299,10 | |||||
1976 | 38,00 | 58,00 | 109,40 | 101,20 | 80,30 | 386,90 | |||||
1977 | 65,70 | 106,80 | 203,90 | 73,90 | 127,40 | 577,70 | |||||
1978 | 61,30 | 40,40 | 43,00 | 72,50 | 51,50 | 268,70 | |||||
1979 | 34,90 | 26,00 | 27,40 | 80,50 | 59,40 | 228,20 | |||||
1980 | 147,70 | 103,30 | 102,60 | 87,80 | 98,30 | 539,70 | |||||
1981 | 74,00 | 104,00 | 77,40 | 57,20 | 150,50 | 463,10 | |||||
1982 | 153,60 | 16,70 | 42,10 | 47,20 | 174,00 | 433,60 | |||||
1983 | 65,20 | 71,00 | 108,70 | 116,40 | 53,00 | 414,30 | |||||
1984 | 64,20 | 64,20 | 34,80 | 62,10 | 57,90 | 283,20 | |||||
1985 | 32,80 | 71,60 | 122,20 | 18,10 | 32,50 | 277,20 | |||||
1986 | 28,20 | 43,80 | 48,00 | 90,00 | 51,00 | 261,00 | |||||
1987 | 49,90 | 55,50 | 144,50 | 68,30 | 30,30 | 348,50 | |||||
1988 | 51,30 | 62,00 | 31,30 | 27,40 | 30,90 | 202,90 | |||||
1989 | 22,00 | 124,90 | 55,70 | 69,00 | 39,80 | 311,40 | |||||
1990 | 54,10 | 72,00 | 46,10 | 54,90 | 62,70 | 289,80 | |||||
1991 | 58,70 | 73,00 | 108,10 | 14,80 | 55,40 | 310,00 | |||||
1992 | 43,00 | 168,80 | 227,00 | 131,00 | 15,80 | 585,60 | |||||
1993 | 42,00 | 72,60 | 212,00 | 86,90 | 48,90 | 462,40 | |||||
1994 | 18,40 | 78,80 | 54,70 | 3,00 | 16,60 | 171,50 | |||||
1995 | 55,80 | 59,50 | 117,60 | 73,40 | 42,30 | 348,60 | |||||
1996 | 53,80 | 25,50 | 8,50 | 11,70 | 40,60 | 140,10 | |||||
1997 | 64,00 | 55,80 | 53,50 | 110,00 | 65,00 | 348,30 | |||||
1998 | 59,90 | 76,50 | 65,80 | 155,50 | 121,90 | 479,60 | |||||
1999 | 15,30 | 70,50 | 59,40 | 43,40 | 36,20 | 224,80 | |||||
2000 | 42,50 | 67,30 | 45,40 | 33,40 | 21,60 | 210,20 | |||||
2001 | 134,40 | 42,30 | 66,60 | 84,50 | 27,30 | 355,10 | |||||
2002 | 77,50 | 28,60 | 101,60 | 30,50 | 18,70 | 256,90 | |||||
2003 | 67,40 | 21,10 | 59,80 | 15,30 | 48,20 | 211,80 | |||||
2004 | 36,80 | 38,40 | 23,70 | 26,80 | 80,60 | 206,30 | |||||
2005 | 25,10 | 61,60 | 16,10 | 73,60 | 88,80 | 265,20 | |||||
2006 | 33,40 | 52,10 | 45,50 | 93,10 | 45,10 | 269,20 | |||||
2007 | 27,90 | 12,30 | 68,00 | 7,10 | 46,50 | 161,80 | |||||
.2 Расчёт года заданной
обеспеченности дефицита водопотребления
На стадии проектирования режимов
орошения сельскохозяйственных культур рассчитывают на условия среднесухого года
(год 75%-ой обеспеченности осадками или дефицита водопотребления).
Для расчёта необходимо иметь
результаты наблюдений метеостанции Лабинского района за осадками, температурой
и относительной влажностью воздуха (25 лет и более) и знать период вегетации
люцерны 2 года (03.03-01.09).
При выборе года расчётной
обеспеченности по дефициту водопотребления вначале определяют испаряемость по
формуле Н.Н. Иванова:
Е0= 0,0018·(25 t)²·(100 — б), мм (1)
Е0 — испаряемость за
декаду, мм;
t — среднедекадная температура воздуха, ºС;
б — относительная влажность воздуха,
%
Расчёт суммарного водопотребления
Суммарное водопотребление (Е)
рассчитывают через величину испаряемости (Е0), скорректированную
коэффициентами, учитывающими роль растений и микроклимата в расходовании воды
орошаемым полем:
Е = Е0·К0·Кб,
мм, (2)
К0 — микроклиматический
коэффициент, характеризующий возможное изменение метеорологических факторов на
сельскохозяйственном поле под влиянием орошения, К0 = 0,93;
Кб — биологический коэффициент,
характеризующий роль растений в расходовании воды полем, зависящий
индивидуально от культуры и фазы её развития, Кб = 0,9.
Таблица 6 —
Биологические коэффициенты (Кб) сельскохозяйственных культур в
различных природных зонах
Культура | Природная зона | |
лесостепная | степная | |
Озимая пшеница | 0,92 — 0,96 | 0,92 — 0,94 |
Яровые зерновые | 0,92 — 0,95 | 0,90 — 0,92 |
Сахарная свекла | 390 — 0,92 | |
Картофель | 0,88-0,94 | 0,86 — 0,90 |
Кукуруза | 0,94 — 0,96 | 0,90 — 0,94 |
Зернобобовые | 0,92-0,98 | 0,90-0,92 |
Многолетние травы (люцерна, клевер) | 0,94-0,96 | 0,90 — 0,94 |
Однолетние травы | 0,92 — 0,96 | 0,86 — 0,92 |
Овощные | 0,92-0,96 | 0,88 — 0,92 |
Результаты расчёта водопотребления
по декадам расчётных периодов сводятся в таблицу 8 по следующей форме.
Таблица7 — Расчет суммарного
водопотребления вегетационного периода лука репчатого
Годы | Вегетационный период | Сумарное водопотребление за расчётный период | ||||
апрель | май | июнь | июль | август | ∑Е, мм | |
1974 | 38,25 | 57,98 | 73,10 | 78,45 | 94,33 | 342,11 |
1975 | 47,79 | 48,72 | 62,38 | 89,68 | 90,37 | 338,96 |
1976 | 33,47 | 34,91 | 54,84 | 93,72 | 71,51 | 288,46 |
1977 | 53,15 | 40,30 | 59,87 | 79,75 | 79,92 | 312,98 |
1978 | 39,46 | 29,16 | 68,22 | 88,10 | 50,75 | 275,69 |
1979 | 45,23 | 55,71 | 59,58 | 91,39 | 90,32 | 342,23 |
1980 | 40,64 | 30,76 | 40,16 | 131,27 | 108,90 | 351,74 |
1981 | 31,94 | 65,47 | 66,76 | 83,54 | 303,00 | |
1982 | 54,40 | 55,44 | 59,92 | 72,11 | 60,16 | 302,03 |
1983 | 49,96 | 71,83 | 62,75 | 49,00 | 61,46 | 295,00 |
1984 | 58,34 | 62,99 | 120,22 | 84,56 | 65,02 | 391,12 |
1985 | 50,64 | 90,70 | 74,56 | 87,96 | 59,24 | 363,11 |
1986 | 68,89 | 65,25 | 87,94 | 72,49 | 84,45 | 379,02 |
1987 | 64,31 | 72,58 | 124,16 | 68,41 | 64,95 | 394,41 |
1988 | 42,78 | 89,72 | 99,29 | 79,09 | 66,87 | 377,75 |
1989 | 68,53 | 63,85 | 91,05 | 82,38 | 69,98 | 375,79 |
1990 | 62,78 | 81,44 | 85,56 | 66,33 | 65,98 | 362,09 |
1991 | 50,58 | 77,36 | 77,66 | 91,27 | 79,89 | 376,74 |
1992 | 71,14 | 87,70 | 98,77 | 74,69 | 60,17 | 392,47 |
1993 | 65,46 | 85,68 | 94,74 | 81,82 | 77,88 | 405,57 |
1994 | 77,00 | 78,36 | 111,08 | 54,01 | 66,48 | 386,93 |
1995 | 72,12 | 98,74 | 86,06 | 59,63 | 88,08 | 404,63 |
1996 | 71,61 | 87,65 | 109,40 | 62,32 | 96,84 | 427,81 |
1997 | 58,40 | 88,38 | 89,89 | 60,03 | 65,90 | 362,59 |
1998 | 63,70 | 70,54 | 92,94 | 71,47 | 72,39 | 371,04 |
1999 | 52,10 | 90,16 | 92,13 | 86,58 | 77,29 | 398,26 |
2000 | 55,69 | 69,65 | 90,96 | 71,44 | 73,81 | 361,55 |
2001 | 71,31 | 73,70 | 97,90 | 83,15 | 61,95 | 388,00 |
2002 | 49,83 | 71,77 | 71,56 | 77,22 | 60,62 | 331,00 |
2003 | 47,56 | 67,27 | 87,85 | 53,93 | 78,73 | 335,34 |
2004 | 63,47 | 103,67 | 129,69 | 69,22 | 76,44 | 442,49 |
2005 | 57,37 | 77,45 | 92,59 | 86,12 | 62,95 | 376,47 |
2006 | 24,57 | 66,12 | 50,94 | 49,07 | 83,14 | 273,85 |
2007 | 48,82 | 61,10 | 70,09 | 73,77 | 63,33 | 317,13 |
Расчёт дефицита водопотребления
Дефицит водопотребления (∆Е)
рассчитывают по формуле:
∆Е = 10*(Е — мР), мм (3)
Е — суммарное недопотребление за
расчётный период, мм;
Р — сумма осадков за расчётный
период, мм;
м — коэффициент использования
осадков, м=0,7
Расчёт дефицита водопотребления
сводится в таблицу 8 по следующей форме.
Таблица 8 — Расчёт дефицита
водопотребления за вегетационный период лука репчатого и выбор года 75%
расчётной обеспеченности.
Годы | ∑Е, мм. | ∑Р, мм. | µР, мм. | ∆Е=10 (∑Е-µР) | № п/п | ∆Е в возрастающем порядке |
1974 | 342,11 | 258,40 | 180,88 | 1612,30 | 1 | -914,15 |
1975 | 338,96 | 299,10 | 209,37 | 1295,86 | 2 | 1295,86 |
1976 | 288,46 | 386,90 | 270,83 | 176,29 | 3 | -260,52 |
1977 | 312,98 | 577,70 | 404,39 | -914,15 | 4 | -211,71 |
1978 | 275,69 | 268,70 | 188,09 | 876,02 | 5 | -174,46 |
1979 | 342,23 | 228,20 | 159,74 | 1824,93 | 6 | -14,91 |
1980 | 351,74 | 539,70 | 377,79 | -260,52 | 7 | 49,87 |
1981 | 303,00 | 463,10 | 324,17 | -211,71 | 8 | 176,29 |
1982 | 302,03 | 433,60 | 303,52 | -14,91 | 9 | 353,21 |
1983 | 295,00 | 414,30 | 290,01 | 49,87 | 10 | 818,92 |
1984 | 391,12 | 283,20 | 198,24 | 1928,85 | 11 | 854,08 |
1985 | 363,11 | 277,20 | 194,04 | 1690,66 | 12 | 876,02 |
1986 | 379,02 | 261,00 | 182,70 | 1963,18 | 13 | 1187,83 |
1987 | 394,41 | 348,50 | 243,95 | 1504,59 | 14 | 1394,35 |
1988 | 377,75 | 202,90 | 142,03 | 2357,22 | 15 | 1504,59 |
1989 | 375,79 | 311,40 | 217,98 | 1578,07 | 16 | 1511,73 |
1990 | 362,09 | 289,80 | 202,86 | 1592,33 | 17 | 1578,07 |
1991 | 376,74 | 310,00 | 217,00 | 1597,43 | 18 | 1592,33 |
1992 | 392,47 | 585,60 | 409,92 | -174,46 | 19 | 1597,43 |
1993 | 405,57 | 462,40 | 323,68 | 818,92 | 20 | 1606,14 |
1994 | 386,93 | 171,50 | 120,05 | 2668,79 | 21 | 1612,30 |
1995 | 404,63 | 348,60 | 1606,14 | 22 | 1690,66 | |
1996 | 427,81 | 140,10 | 98,07 | 3297,44 | 23 | 1824,93 |
1997 | 362,59 | 348,30 | 243,81 | 1187,83 | 24 | 1870,84 |
1998 | 371,04 | 479,60 | 335,72 | 353,21 | 25 | 1908,33 |
1999 | 398,26 | 224,80 | 157,36 | 2409,01 | 26 | 1928,85 |
2000 | 361,55 | 210,20 | 147,14 | 2144,09 | 27 | 1963,18 |
2001 | 388,00 | 355,10 | 248,57 | 1394,35 | 28 | 2038,70 |
2002 | 331,00 | 256,90 | 179,83 | 1511,73 | 29 | 2144,09 |
2003 | 335,34 | 211,80 | 148,26 | 1870,84 | 30 | 2357,22 |
2004 | 442,49 | 206,30 | 144,41 | 2980,76 | 31 | 2409,01 |
2005 | 376,47 | 265,20 | 185,64 | 1908,33 | 32 | 2668,79 |
2006 | 273,85 | 269,20 | 188,44 | 854,08 | 33 | 2980,76 |
2007 | 317,13 | 161,80 | 113,26 | 2038,70 | 34 | 3297,44 |
Выбор реального года заданной
обеспеченности дефицита водопотребления
Место в ряду теоретического
среднесухого года определяется по формуле:
m = Р·(n 1)/100, (4)
m — место в ряду;
Р — процент обеспеченности осадками
расчётного года;
n — число лет наблюдений.
Таблица 9 — Климатические характеристики
реального года лука репчатого (1984).
Месяц | Количество осадков, мм | Температура воздуха, °C |
апрель | 64,20 | 31,60 |
май | 64,20 | 54,80 |
май | 64,20 | 54,80 |
июнь | 34,80 | 60,70 |
июль | 62,10 | 63,50 |
август | 57,90 | 61,00 |
1.3 Проектирование
режима орошения сельскохозяйственных культур
Оросительная норма
подается сельскохозяйственной культуре отдельными порциями, или поливными
нормами, в определенные сроки вегетационного периода, согласно изменяющейся во
времени потребности растений в воде. Число поливов, поливные нормы и сроки их
подачи определяют так называемый поливной режим сельскохозяйственных культур.
Поливная норма «m»— объем воды, подаваемый на
1 га поля, занятого сельскохозяйственной культурой, за один полив для насыщения
расчетного почвенного слоя. Она зависит от вида культуры и фазы ее развития,
мощности почвенного слоя, содержания солей в почве, климатических и
гидрогеологических условий, способа и техники полива.
Чем больше развита
корневая система у растения, тем большую поливную норму требуется подать. Существует
и обратная зависимость глубины проникновения корней от поливной нормы, то есть
от глубины, промачиваемого при поливе почвенного слоя. Глубина слоя зависит от
мощности почвенного слоя. При маломощных почвах промачиваемый расчетный слой
будет определяться мощностью почвенного слоя.
Поливная норма
зависит также от водоудерживающей способности почвы. Для глинистых почв она
больше, чем для песчаных (при одной и той же мощности расчетного слоя почвы).
Доступная для растения влага в почве
появляется при влажности, превышающей коэффициент увядания растений, который
соответствует полуторной — двойной гигроскопичности почвы (он составляет от 3
до 13… 14% объема для разных почв). В практике орошения предполивную влажность
принимают обычно 60…75% скважности почвы; зависит она главным образом от
требований растений к влажности почвы. Так, для овощей требуется высокая
предполивная влажность, тогда как зерновые культуры менее требовательны к
колебаниям влажности в расчетном слое почвы при поливе.
Предполивная влажность
почвы определяется также характером почв и их свойствами. Большая предполивная
влажность (65…75%) должна быть обеспечена на глинистых и тяжелосуглинистых
почвах, меньшая (50%) — на супесчаных.
На засоленных
землях предполивную влажность увеличивают до 65…75% скважности, особенно для
тех сельскохозяйственных культур, на развитие которых соли в почве оказывают
наиболее отрицательное воздействие (хлопчатник, травы, овощи, кормовые
культуры).
Поливная норма в
большой степени зависит от способа и техники полива. Так, при поливе по
бороздам наименьшая поливная норма составляет около 600 м3/га, что
обусловлено возможностями техники полива, обеспечением равномерности
распределения воды по площади поля. При поливе по полосам, а особенно по
широким и длинным, поливная норма составляет 1,5…2 тыс. м3/га и
более, что значительно превышает потребности растений в воде. Поэтому
коэффициент полезного использования воды при таком поливе низок, так как
большая часть поданной воды идет на глубинный сброс, на питание грунтовых вод.
Поэтому при самотечном поверхностном способе орошения поливные нормы в
вегетационный период следует принимать от 600 до 1000…1100 м3/га,
дифференцируя их в течение вегетационного периода в зависимости от изменения
водопотребления сельскохозяйственной культуры.
При дождевании
происходит более равномерное распределение влаги по полю практически при любой
поливной норме (50, 100…200 м3/га). В то же время при дождевании на
поверхности почвы (безнапорное впитывание) не образуется слой воды. При этом скорость
впитывания воды в почву значительно ниже, чем при напорном впитывании при
самотечном поверхностном поливе. Поэтому максимальные поливные нормы при
дождевании обычно составляют 600…700 м3/га. Отсюда и слой почвы,
промачиваемый при дождевании, значительно меньше, чем при самотечном
поверхностном способе полива. В среднем он составляет 0,3…0,6 м. Таким образом,
при дождевании поливные нормы в вегетационный период принимают 300…700 м3/га.
Поливы при дождевании более часты, водный режим расчетного слоя почвы
характеризуется меньшими колебаниями влажности. Поливные нормы более стабильны
по величине.
Кроме поливов,
обеспечивающих потребность растений в воде в вегетационный период, применяют
поливы специального назначения, обеспечивающие влажность в почве перед ее
обработкой, посевом и др. К таким поливам относят: предпосевной, посадочный и
подкормочный. Эти поливы проводят нормой 200…400 м3/га. Подкормочный
полив предназначен для введения с поливной водой питательных веществ в почву. В
этом случае поливная норма составляет 100…200 м3/га.
При ранне-осенних и
поздне-весенних заморозках для выравнивания температуры и влажности воздуха
дождевание проводят нормой 50..100м3/га.
На засоленных
почвах поливные нормы увеличивают на 15…30% для проведения промывного режима
орошения. Назначение таких поливов — подавление восходящих токов
минерализованных грунтовых вод для предотвращения вторичного засоления почв.
Особое значение имеют
влагозарядковые или запасные поливы. Их проводят, как правило, в осенне-зимний
период нормами 1000…2000 м3/га. Они предназначены обеспечить высокую
(обычно около 90% ППВ) влажность в расчетном слое почвы к началу вегетационного
периода.
Для того чтобы вся требуемая
поливная норма разместилась в расчетном слое почвы и обеспечила ее проектную
влажность, следует учитывать потери воды при поливе. При самотечном способе
полива чаще всего потери проявляются в виде глубинных сбросов воды и сбросов
поверхностных вод в нижней части поля. При самотечном поверхностном способе
полива более точно поливная норма дозируется при поливе по бороздам, менее
точно — при поливе по полосам и затоплении чеков. Поэтому и потери воды при
поливе на глубинный сброс увеличиваются в том же порядке. При дождевании потери
образуются в результате испарения части капель дождя в воздухе, с листовой
поверхности и в результате стока с поверхности земли при интенсивности дождя,
превышающей скорость впитывания воды в почву. При назначении поливных и
оросительных норм следует вводить коэффициенты, учитывающие потери.
Водопотребление
сельскохозяйственных культур
В результате жизнедеятельности
растения потребляют из почвы воду вместе с питательными веществами. Поглощенная
вода испаряется с поверхности листьев — это процесс транспирации. Одновременно
вода испаряется с поверхности почвы, поэтому при определении затрат воды на
возделывание той или иной с/х культуры учитывается испарение и с листьев, и с
почвы. Это суммарное испарение называется «водопотребление». Режим
водопотребления складывается следующим образом: После посева, когда всходы
отсутствуют, вода расходуется только с поверхности почвы — суточный рацион
незначителен. С появлением всходов начинается транспирация, расход воды
возрастает и достигает максимума в период
цветения и
формирования плодов. Затем, водопотребление начинает спадать и круто обрываться
с отмиранием листьев.
Таким образом,
величина водопотребления зависит от климатических условий, влажности почвы,
вида и урожайности с/х культур и других факторов. В практике орошаемого
земледелия существует несколько методов определения водопотребления, которые
можно объединить в три группы:
) теоретические —
основаны на физических законах испарения и энергии;
) метеорологические
— когда водопотребление функционально связано с метеорологическими факторами;
) имперические —
величина водопотребления или отдельные коэффициенты определяются
экспериментальным путем.
Метод академика
А.Н. Костякова:
Е = Кв·У,
м/га (5)
Е — суммарное
водопотребление, м /га;
Кв —
коэффициент водопотребления, м3/ц;
У — урожайность с/х
культур, ц/га.
Биологический
коэффициент рассчитывается как:
Kб = E/ ∑t, (6)
Кб —
биологический коэффициент;
∑t — сумма активных температур за
рассматриваемый период.
Таблица 10 —
Определение запасов влаги в корнеобитаемом слое почвы лука репчатого
Глубина активного слоя врдопотребления H, м | Масса естественного сложения б, т/м3 | Влажность почвы rнв, % | Мин. Влажность почвы rmin, % | Фактическая влажность почвы rф, % | Запасы влаги, м3/га | ||
Wmax=100*H*б*rнв | Wmin=100*H*б*rmin | Wф=100*H*б*rф | |||||
0,4 | 1,26 | 32,2 | 22,54 | 32,2 | 1622,88 | 1136,016 | 1622,88 |
Запас влаги
определяется по формуле:
max =100·Н·б·rнв, м3/га (7)
Wmax — max запас влаги в корнеобитаемом слое почвы, м3/га;
Н — глубина
корнеобитаемого слоя почвы, м;
б — объемная масса
почвы в естественном сложении, т/м3;
rнв— — наименьшая
влагоёмкость почвы, % от веса сухой почвы.
Запасы влаги в
корнеобитаемом слое почвы не представляется удерживать на одном каком-либо
уровне. В связи с этим, производится поддержание запасов влаги в корнеобитаемом
слое почвы.
Wmax =100·Н·б· rmin, м3/га (8)
Wmin — минимально-допустимый запас влаги в корнеобитаемом слое
почвы, м3/га;
rmin — минимально-допустимая влагоемкость почвы, %.
Минимально-допустимая
влагоемкость определяется по формуле:
rmin =0,8 * rнв, % (9)
коэффициент 0,8 —
принимается для лука репчатого.
Расчет запасов
влаги в корнеобитаемом слое почвы. Влага в почве под влиянием различных сил
находится в неодинаковом состоянии. Влага в почве находится в следующих формах
и состояниях. Связанная влага в почве представлена гигроскопической влагой —
это влага, сорбированная вокруг мелких частиц почвы и удерживаемая
молекулярными силами. Так как молекулярные силы превосходят сосущую силу
растений, то данная влага не доступна растениям.
Свободная влага
находится вне сорбционных сил, представлена капиллярной и гравитационной.
Капиллярная влага —
это влага, удерживаемая за счет капиллярных сил почвы, и которая заполняет
капиллярные промежутки или поры почвы. Корневым волоскам она доступна. Высота
капиллярного подъема у разных почв различна и составляет для песков 18-20 см,
для супесей 100-150 см, суглинков 150-300 см, глин 300-400 см.
Гравитационная влага способна к
передвижению в почве под действием силы тяги. Движение гравитационной влаги в
почве, называют ее фильтрацией. Влагоемкость почвы — это способность почвы
поглощать и удерживать определенное количество воды в почве. Она зависит от
состояния увлажненности, пористости, температуры почвы, концентрации и состава
почвенных растворов, степени окультуренности почвы и др. С повышением
температуры почвы и воздуха влагоемкость уменьшается, за исключением почв,
обогащенных перегноем. Влагоемкость меняется по генетическим горизонтам и
высота почвенной колонки. Наибольшее количество влаги, которое может
содержаться в почве при условии полного заполнения всех пор и пустот,
соответствует полной влагоёмкости (ПВ).
Наименьшая
влагоемкость (НВ) — это максимально возможное содержание капиллярно-подвешенной
влаги в почве в естественном ее сложении, после стекания всей гравитационной
влаги.
Наименьшая
влагоемкость, выраженная в объемных процентах, для песчаных почв равна 4-6, для
супесчаных 6-15, для легкосуглинистых 12-25, для суглинистых и глинистых почв
25-35.
Когда влажность
почвы снижается до 60-70% наименьшей влагоемкости в почве нарушается сплошное
капиллярное передвижение воды. Такое состояние влаги в почве называется
«влажностью заведания». Она близка к влажности замедленного роста растений и
соответствует нижнему пределу оптимальной влажности для роста и развития
растений. Такое состояние влажности указывает на необходимость проведения
полива.
Количество воды, соответствующее
оросительной норме, подается в почву отдельными поливными нормами с таким
расчетом, чтобы в почве не нарушались нормальные условия питательного режима
растений. А также, чтобы поданная вода не просачивалась вглубь и не питала
грунтовые воды. Следовательно, в почву нужно подать столько воды, сколько она
сможет удержать в расчетном слое, где находится основная масса корней.
Расчёт запасов влаги в
почве и поливной нормы
Поливной нормой
называется количество воды, подаваемое на 1 га орошаемой площади за один полив.
С агромелиоративной
и организационно-хозяйственной точки зрения можно выделить следующие виды
поливов:
Предпосевной полив
проводят с целью увлажнения почвы и получения дружных и полных всходов,
укоренения, быстрого роста и развития с/х структур в начальный период жизни
растений.
• Влагозарядковый
полив производят в зонах недостаточного увлажнения, где бывает сухая весна и
осень, чтобы к началу вегетации с/х культур запас влаги в почве приближался к
максимальному;
• Провокационный
полив делают с целью вызвать прорастание сорняков, которые уничтожают
предпосевной культивацией;
• Вегетационные
поливы являются основными поливами с/х культур и проводятся в период вегетации;
• Промывные поливы
проводят, как правило, в осенний или осенне-зимний периоды с целью удаления из
почвенных грунтов в дренажную сеть избытка водорастворимых солей.
Поливные нормы
рассчитываются по формуле:
m = Wmax — Wmin, м3/га (10)
Таблица 12 —
Определение поливной нормы лука репчатого
Культура | Wmax | Wmin | Wф | Поливная нрма | |
m1 | m2 | ||||
Лук репчатый | 1600 | 1100 | 1600 | 0 | 500 |
Получаем: m = 1600-1100 =500 м3/га.
Определение оросительной
нормы
Оросительной нормой
называется количество воды, которое подается на 1 га для полива одной культуры
за весь период вегетации с целью получения запланированной урожайности.
Оросительную норму
определяют по следующей формуле:
М = Кв·У-10·Р1·м1
— 10·Р2·м2 — 10·Р3·м3 — Wгр, м3/га (11)
М — оросительная
норма, м3/га;
Кв — коэффициент
водопотребления, м3/га;
У — планируемая урожайность, т/га;
Wгр — объем воды,
поступившей из грунтовых вод, м3/га;
Р1 Р2, Р3
— осадки соответственно вегетационного, теплого невегетационного и холодного
периодов, мм;
м1, м2,
м3— коэффициенты использования осадков соответствующих
периодов: м1 = 0,7; м2= 0,5; м3 = 0,3.
Объем воды,
поступающей из грунтовых вод в слой активного водопотребления, учитывают, если
горизонт фунтовых вод находится не ниже 3 м от поверхности земли.
Влагозарядковая норма
— количество воды, которое подается на 1 га с целью насыщения слоя почвогрунта
глубиной 1 — 1,5 м до предельной полевой влагоемкости. Определяется по формуле:
Пример:
Мвп =
100·h0·(rHB — гфакт) 10·Е-10·Р·м-Wгр, м3/га (12)
Мвп —
влагозарядковая норма,м3/га; Е — количество воды,
испарившейся за период от влагозарядкового полива до наступления устойчивых
морозов или снежного покрова, мм;
Р — слой осадков,
выпавших за осенне-зимний период, мм;
м — коэффициент использования
осадков, м = 0,3.
Определение сроков
вегетационных поливов по интегральной кривой дефицита водопотребления
Величину декадного
водопотребления определим по формуле Льгова Г.К.
Е = К·∑t, м3/га (13)
К — биофизический
коэффициент культуры (помидор поздних), м3/га;
∑t — сумма температур за декаду, 0С.
Таблица 13 —
Определения подекадного водопотребления лука репчатого
Вегетационный период | Ʃt за декаду,°C | Биофизический коэф. Ко, м3/га/°C | Водопотребление E=KƩt | 10ϻP, м3/га | Дефицит водопотребления ∆E=E-10ϻP, | Дефицит водопотребления нарастающим итогом Ʃ∆E, | Средняя дата полива | |
Месяц | Декада | |||||||
апрель | 1 | 110 | 1,75 | 192,5 | 49 | 143,5 | 143,50 | |
2 | 117 | 204,75 | 63,7 | 141,05 | 284,55 | |||
3 | 89 | 155,75 | 336,7 | -180,95 | 103,60 | |||
май | 1 | 145 | 253,75 | 13,3 | 240,45 | 344,05 | ||
2 | 200 | 350 | 13,3 | 336,7 | 680,75 | 15.05.1984 | ||
3 | 223,3 | 390,775 | 422,8 | -32,025 | 648,73 | |||
июнь | 1 | 208 | 364 | 93,1 | 270,9 | 919,63 | ||
2 | 177 | 309,75 | 67,2 | 242,55 | 1162,18 | 12.06.1984 | ||
3 | 222 | 388,5 | 83,3 | 305,2 | 1467,38 | |||
июль | 1 | 208 | 364 | 74,9 | 289,1 | 1756,48 | 02.07.1984 | |
2 | 245 | 428,75 | 90,3 | 338,45 | 2094,93 | 18.07.1984 | ||
3 | 200,2 | 350,35 | 269,5 | 80,85 | 2175,78 | |||
август | 1 | 218 | 381,5 | 5,6 | 375,9 | 2551,68 | 09.08.1984 | |
2 | 210 | 367,5 | 315 | 52,5 | 2604,18 | |||
3 | 200,2 | 350,35 | 84,7 | 265,65 | 2869,83 | |||
Сроки вегетационных
поливов проектного режима орошения определяют графическим методом на плоскости
координат, осью абсцисс которой является вегетационный период с отражением на
ней суток, декад и месяцев, а осью ординат — дефицит водопотребления культуры.
Первый
вегетационный полив следует провести, как только растения расходуют запасы
продуктивной влаги активного слоя почвы. Для этого определяют Wmax,Wmin, Wпр поизвестным формулам.
Запас продуктивной
влаги на начало вегетации определяют по формуле
Wпр = Wфак — Wmin, м3/га (14)
m = Wmax — Wmin, м3/га (15)
Из точки пересечения опускают
перпендикуляр на ось абсцисс, который укажет на среднюю дату первого вегетационного
полива. Из этой же точки на интегральной кривой проводят вертикально вверх
линию, соответствующую по масштабу вегетационному поливу — т. Из верхней точки
линии проводят горизонтальную линию до пересечения с интегральной кривой. Из
полученной точки на интегральной кривой опускают перпендикуляр, указывающий на
среднюю дату второго полива и т.д.
Определение сроков
вегетационных поливов графоаналитическим способом по Костякову А.Н.
Определение сроков проведения
поливов начинают с определения подекадного водопотребления расчетной культуры
за вегетационный период. Суммарное водопотребление за вегетационный период
можно рассчитать по формуле А.Н. Костякова:
Е= Кв∙У, м³/га
Для расчета подекадного
водопотребления предполагаем, что оно распределяется в течении периода
вегетации пропорционально декадной температуре воздуха.
Таблица 14 — Баланс влаги в почве и
определение сроков поливов лука репчатого
Вегетационный период | Водопотребление | Wфакт, м3/га | Поступление воды в почву за счет | Wконечн, м3/га | Дата полива | ||||
Месяц | Декада | Осадки P | Полива m | Всего | Wест | Wфакт | |||
апрель | 1 | 192,5 | 1600 | 49 | 1456,5 | 1456,5 | |||
2 | 204,75 | 1456,5 | 63,7 | 1315,45 | 1315,45 | ||||
3 | 155,75 | 1315,45 | 336,7 | 1496,4 | 1496,4 | ||||
май | 1 | 253,75 | 1496,4 | 13,3 | 1255,95 | 1255,95 | |||
2 | 350 | 1255,95 | 13,3 | 500 | 919,25 | 1419,25 | 15.05.1984 | ||
3 | 390,775 | 1419,25 | 422,8 | 1451,275 | 1451,275 | ||||
июнь | 1 | 364 | 1451,275 | 93,1 | 1180,375 | 1180,375 | |||
2 | 309,75 | 1180,375 | 67,2 | 500 | 937,825 | 1437,825 | 12.06.1984 | ||
3 | 388,5 | 1437,825 | 83,3 | 1132,625 | 1180,95 | ||||
июль | 1 | 364 | 1180,95 | 74,9 | 500 | 891,85 | 1391,85 | 02.07.1984 | |
2 | 428,75 | 1391,85 | 90,3 | 500 | 1053,4 | 1553,4 | 18.07.1984 | ||
3 | 350,35 | 1553,4 | 269,5 | 1472,55 | 1472,55 | ||||
август | 1 | 381,5 | 1472,5 | 5,6 | 500 | 1096,6 | 1596,6 | 09.08.1984 | |
2 | 367,5 | 1596,6 | 315 | 1544,1 | 1544,1 | ||||
3 | 350,35 | 1544,1 | 84,7 | 1278,45 | 1278,45 | ||||
Запас влаги в почве на конец декады
(Wест) равен:
Wест=Wнач-E P, м³/га. Если Wмин< Wест<Wмакс, то полив не проводят,
а Wфакт= Wест. Если Wест> Wмакс, то Wфакт= Wмакс. Если Wест< Wмин, то требуется полив. В
этом случае Wфакт= =Wест m.
Проверка: Е=∑Р ∑m (Wнач-Wкон),
где ∑Р — сумма осадков, м³/га
∑m — сумма всех поливных норм, м³/га
На основании рассчитанных величин,
приведенных в таблице 13, строят график, по которому определяют число и средние
даты вегетационных поливов.
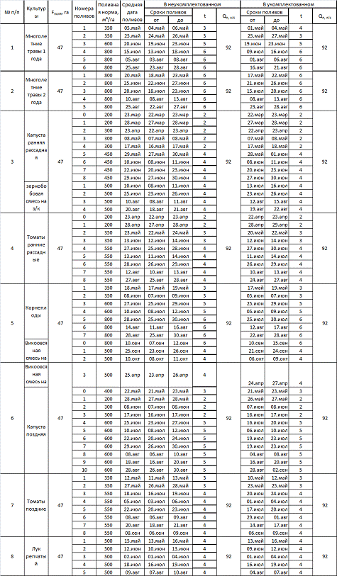
.4 Графики поливов при дождевании
Для широкозахватных дождевальных
машин типа Днепр, поливной расход (Qп) будет равен расходу
одной дождевальной машины (Qдм).
Продолжительность поливного периода
для каждого полива всех культур входящих в севооборот рассчитывается по
формуле:
t = m·Fп.·Кисп./3,6·Qп.·T·Кирв. (18)
t — продолжительность поливного периода, сутках;
m — поливная норма, м3/га;
Fп. — площадь нетто поля
севооборота, га;
Кисп. — коэффициент
учитывающий потери воды на испарение при поливе, Кисп. = 1,1
Qп. = поливной расход,
л/сек;
T — продолжительность полива (24 часа);
Кирв. — коэффициент
использования рабочего времени, Кирв = 0,89
Пример:
t = 34650/8294.4=5 дней.
Неукомплектованный
график
График гидромодуля отражает динамику
подачи оросительной воды в течение оросительного периода на один осредненный
гектар массива и составляется для года расчётной обеспеченности.
Построение неукомплектованного
графика гидромодуля ведётся на основании следующих данных: состава культур,
входящих в севооборот; их режима орошения; доли площади, занимаемой каждой
культуры.
Примерные поливные периоды для
овощных культур составляет 3 — 5, зерновых и кормовых 5 — 15 дней. Если
поливная норма 300 — 400 м3/га поливной период должен быть 3 дня,
если 500 — 600 м3/га — 5 — 6 дней. При влагозарядковых поливах
нормой 1200-1500 м3/га поливной период можно принять до 15 — 20
дней. Гидромодуль определяют для всех поливов каждой культуры, входящей в
севооборот. Результаты расчёта записывают в ведомость неукомплектованного
графика гидромодуля.
Графики гидромодуля строят на
миллиметровой бумаге. В верхней половине листа — неукомплектованный график, а в
нижней — укомплектованный. Здесь же приводятся условные обозначения.
По оси абсцисс откладывают в
масштабе календарь оросительного сезона с указанием месяцев и декад, а по оси
ординат — гидромодуль. Горизонтальный масштаб — 1 мм.=1 сутки, а вертикальный —
произвольно, из расчёта, что в наиболее напряженные периоды будет поливаться
одновременно несколько культур.
Поливы каждой культуры на графике
изображают в виде прямоугольников, ширина которых означает поливной период (ось
абсцисс), а высота — гидромодуль (ось ординат).
Площадь прямоугольника соответствует
удельному объёму воды, подаваемому на полив культуры. Каждая культура имеет
свой условный знак — штриховку.
Построение графика начинают с
ведущих культур, имеющих наибольшую продолжительность поливных периодов и
наибольшее их число. Если поливы двух или более культур полностью или частично
совпадают по времени, то в эти дни ординаты гидромодуля суммируют, а прямоугольники
частично или полностью наращивают один над другим.
Таким образом, в первом построении
получают неукомплектованный график гидромодуля, которым пользоваться невыгодно,
так как оросительные каналы и сооружения в этом случае надо проектировать на
пропуск максимального расхода, который будет всего несколько дней в году. В
остальные же дни оросительная сеть будет пропускать значительно меньшие
расходы, что повлечёт за собой заиление, зарастание откосов каналов, излишние
потери воды на фильтрацию, что в свою очередь затруднит регулирование расходов
и горизонтов воды. Строительство системы, рассчитанной на максимальный расход
по неукомплектованному графику гидромодуля, привело бы к значительному
увеличению строительных работ и капитальных вложений, удорожанию эксплуатации и
ухудшению мелиоративного состояния орошаемых земель. Таким образом, применение
неукомплектованного графика гидромодуля экономически невыгодно и технически
неприемлемо, поэтому график надо укомплектовывать.
Укомплектованный график
Укомплектование графика гидромодуля
имеет целью снижение максимальной ординаты гидромодуля; выравнивание по
возможности ординаты гидромодуля; устранение неоправданных перерывов в подаче
воды.
Достигается это путём частичного
изменения сроков поливов, и главным образом за счёт увеличения или уменьшения
продолжительности полива сельскохозяйственных культур. Для влаголюбивых и
ведущих культур агротехнические сроки поливов в процессе укомплектования
графика гидромодуля не следует изменять более чем на 2 — 3 дня. Сроки поливов
второстепенных культур, а также менее влаголюбивых при укомплектовании могут
быть сдвинуты на 5 — 6 дней. Сроки проведения поливов желательно сдвигать
влево, предупреждая иссушение почвы в корнеобитаемом слое.
В процессе укомплектования графика
гидромодуля следует строго соблюдать условие, по которому объём воды, идущий на
полив каждой культуры, в укомплектованном графике соответствовал бы объёмам
воды для полива тех же культур в неукомплектованном графике гидромодуля. Во
всех случаях должно соблюдаться условие:
qt = q1·t1 (19)
q и t — соответственно гидромодуль и поливной период на
неукомплектованном графике гидромодуля;
q1 и t1 — те же величины на укомплектованном графике гидромодуля.

2. Расчёт элементов
техники полива при дождевании
Дождевание — способ полива с
применением специальных машин, обеспечивающих поступление оросительной воды на
поверхность почвы в виде искусственного дождя.
Основные характеристики — как
естественных, так и искусственных дождей — это интенсивность дождя, крупность
капель, равномерность распределения дождя по площади.
Средняя интенсивность дождя —
отношение среднего слоя дождя ко времени их выпадения:
Рср. = hср. / t (20)
Средняя интенсивность дождя для
дождевальной машины определяется по формуле:
Рср. = 60·Q / F (21)
Q — расход дождевальной машины, л/с;
F — площадь захвата, м3
Одно из основных требований к
дождеванию заключается в том, чтобы при поливе не происходило образование луж,
и не формировался поверхностный сток.
Конструкция, создающая искусственный
дождь, называется дождевальным устройством. Дождевальным устройством могут быть
дождевальные агрегаты, машины, установки, насадки.
Дождевальная машина — это
устройство, состоящее из самоходной опоры (нескольких опор) и смонтированной на
ней дождевальной установки. Напор для работы дождевальной машины создаётся
автономной насосной станцией.
Дождевальные устройство по радиусу
разбрызгивания подразделяются на короткоструйные (К = 20 м.), среднеструйные (К
= 20 — 40 м.) и дальнеструйные (К ˃ 40 м.)
По действию и конструкционным
особенностям современные дождевальные машины могут быть стационарными,
полустационарными и подвижными.
В стационарных дождевальных системах
насосные станции, подводящие, распределительные и транспортирующие трубопроводы
и дождевальные аппараты устраивают постоянными.
В полустационарных дождевальных
системах насосные станции, хозяйственные, участковые распределители или
трубопроводы устраивают постоянными, оросители — временными, а дождевальные
установки и машины — самоходными или переносными.
При подвижных дождевальных системах
подводящие, распределительные и транспортирующие трубопроводы устраивают из
быстроразъёмных металлических трубопроводов.
Основными параметрами при расчёте
являются следующие данные:
Сменная производительность
дождевальной машины (агрегата).
Сезонная производительность
дождевальной машины (агрегата).
Время работы дождевальной машины
(агрегата) на позиции (бъефе).
Сменная производительность
дождевальной машины определится из балансового уравнения:
бm·Fсм = 3,6·Qм·tсм·Ксм, (22)
откуда
Fсм = 3,6 Fсм·tсм·Ксм / бm, (23)
Fсм — сменная площадь полива, га;
Qм — секундный расход дождевальной машины, л/с;
tсм — продолжительность смены, ч;
Ксм — коэффициент рабочего времени
за смену;
m — поливная норма, м3/га;
б — коэффициент, учитывающий потери
на испарение при дождевании.
Зная сменную производительность
дождевальной машины можно определить суточную и сезонную площадь полива:
Fсут·Т = 3,6 Fсм·tсм·Ксм / бm, (24)
Т — время полива внутри суток, ч;
Fсут — коэффициент использования рабочего времени за сутки.
Сезонная производительность
дождевальной машины может быть определенна по формуле:
Fсез = Fсм·Т = 3,6·t·Т·Ксез / бm, (25)
Т — время работы машины за поливной
сезон, сут.;
Ксез — коэффициент использования
рабочего времени за сезон.
Продолжительность полива на одной
позиции дождевальной машины при известной средней интенсивности дождя
определяется как:
t = 0,1·бm / Рср, (26)
t — время продолжительности полива на позиции, мин.;
m — поливная норма, м3/га;
б — коэффициент, учитывающий потери
на испарение при дождевании.
Рср — средняя интенсивность дождя
для дождевальной машины, мм/мин.
t=0,1*500*1,1/0,3=183,3 мин=3 часа=0,13 суток
3. Проект закрытой
оросительной сети при поливе лука репчатого машиной Днепр ДФ-120-04
Днепр — фронтальный дождеватель для
поля любой ширины. Осуществлет позиционный полив дождиванием всех с/х культур в
полуавтомотическом режиме. Подача воды — от гидрантов закрытой оросительной
сети, полив по прямоугольному контору. Водопроводящий трубопровод машины
расположен над поверхностью поля на расстоянии 2.1 м, что позволяет поливать и
высокостебельные культуры.
А=Fп*10000/В, м (27)
А — сторона поля, м
Fп — площадь поля, м2
В-ширина захвата дождевальной
машины, м
А =
м
Вывод
В данной работе проведены основные
этапы проектирования режима орошения томатов поздних от расчета среднесухого
года и определения величин поливных и оросительных норм до построения и
укомплектования графиков гидромодуля, а также методы и расчеты элементов
техники полива дождеванием.
Список используемой
литературы
1 Методические указания
для проектирования и расчета элементов техники полива дождеванием. Г.В.
Иванова, А.Д. Гумбаров. Краснодар 1984
Режим орошения и техника
полива сельскохозяйственных культур в условиях неустойчивого увлажнения Кубани.
В.П. Амелин, А.Д. Гумбаров, С.А. Владимиров, В.Г. Гринь. Краснодар 2005
Сельскохозяйственные
гидротехнические мелиорации. А.А. Богущевский, А.И. Голованов, В.А. Кутергин.
Москва — Колос, 1981
